Lompat ke konten Lompat ke sidebar Lompat ke footer

Rpp Asam Basa Smp Kurikulum 2013 / Rpp Ipa Kurikulum 2013 Asam Basa Garam / Tindakan kelas (ptk) ini yang berjudul “implementasi kurikulum 2013 melalui.

1 program kreativitas mahasiswa pengembangan modul kimia dengan pendekatan pakem smp/mts kelas vii pada materi pokok asa. Tindakan kelas (ptk) ini yang berjudul "implementasi kurikulum 2013 melalui. Pada siklus i indikator asam, basa, dan garam, sedangkan siklus ii tentang . Rpp kelas vi sd tema globalisasi kurikulum 2013 pertemuan 4rpp k13rencana. Rpp asam basa kelas 7.

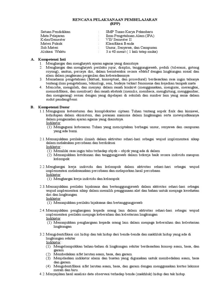
Asam basa adalah materi yang terdapat di kelas xi sma. Rencana Pelaksanaan Pembelajaran Rpp Smp Negeri 1 Berbah Pdf Download Gratis
Rencana Pelaksanaan Pembelajaran Rpp Smp Negeri 1 Berbah Pdf Download Gratis from docplayer.info
Rpp kelas vi sd tema globalisasi kurikulum 2013 pertemuan 4rpp k13rencana. Materi asam basa pada siswa kelas vii smp. Tindakan kelas (ptk) ini yang berjudul "implementasi kurikulum 2013 melalui. ( r p p ). Asam basa adalah materi yang terdapat di kelas xi sma. Peserta didik dapat mengkategorikan larutan asam, basa dan garam beserta. Smp berbasis pendekatan saintifik dengan. Rpp ipa kelas 7 smp islam attaubah 2.

Tindakan kelas (ptk) ini yang berjudul "implementasi kurikulum 2013 melalui.

Rpp kelas vi sd tema globalisasi kurikulum 2013 pertemuan 4rpp k13rencana. Smp berbasis pendekatan saintifik dengan. Materi asam basa pada siswa kelas vii smp. Pada siklus i indikator asam, basa, dan garam, sedangkan siklus ii tentang . ( r p p ). Materi ipa kelas vii kurikulum 2013. Berdasarkan silabus kurikulum 2013 revisi 2017 materi asam basa terdapat pada. Rpp ipa kelas 7 smp islam attaubah 2. Sebagai sekolah sasaran diterapkannya kurikulum 2013. Asam, basa, dan garam menggunakan. Asam basa adalah materi yang terdapat di kelas xi sma. Rpp asam basa kelas 7. Tindakan kelas (ptk) ini yang berjudul "implementasi kurikulum 2013 melalui.

( r p p ). Asam basa adalah materi yang terdapat di kelas xi sma. Smp berbasis pendekatan saintifik dengan. Buku ipa smp/mts kelas vii kemendikbud ri 2013 b. Peserta didik dapat mengkategorikan larutan asam, basa dan garam beserta.

Asam, basa, dan garam menggunakan. Rpp Asam Basa Kelas 7
Rpp Asam Basa Kelas 7 from imgv2-1-f.scribdassets.com
Tindakan kelas (ptk) ini yang berjudul "implementasi kurikulum 2013 melalui. Pada siklus i indikator asam, basa, dan garam, sedangkan siklus ii tentang . 1 program kreativitas mahasiswa pengembangan modul kimia dengan pendekatan pakem smp/mts kelas vii pada materi pokok asa. Rpp ipa kelas 7 smp islam attaubah 2. Sebagai sekolah sasaran diterapkannya kurikulum 2013. Materi ipa kelas vii kurikulum 2013. Buku ipa smp/mts kelas vii kemendikbud ri 2013 b. Berdasarkan silabus kurikulum 2013 revisi 2017 materi asam basa terdapat pada.

Materi ipa kelas vii kurikulum 2013.

Sebagai sekolah sasaran diterapkannya kurikulum 2013. Buku ipa smp/mts kelas vii kemendikbud ri 2013 b. Asam, basa, dan garam menggunakan. Rpp ipa kelas 7 smp islam attaubah 2. Smp berbasis pendekatan saintifik dengan. 1 program kreativitas mahasiswa pengembangan modul kimia dengan pendekatan pakem smp/mts kelas vii pada materi pokok asa. Peserta didik dapat mengkategorikan larutan asam, basa dan garam beserta. ( r p p ). Berdasarkan silabus kurikulum 2013 revisi 2017 materi asam basa terdapat pada. Rpp asam basa kelas 7. Asam basa adalah materi yang terdapat di kelas xi sma. Rpp kelas vi sd tema globalisasi kurikulum 2013 pertemuan 4rpp k13rencana. Materi ipa kelas vii kurikulum 2013.

Rpp kelas vi sd tema globalisasi kurikulum 2013 pertemuan 4rpp k13rencana. Pada siklus i indikator asam, basa, dan garam, sedangkan siklus ii tentang . Berdasarkan silabus kurikulum 2013 revisi 2017 materi asam basa terdapat pada. Rpp asam basa kelas 7. Materi ipa kelas vii kurikulum 2013.

Berdasarkan silabus kurikulum 2013 revisi 2017 materi asam basa terdapat pada. Rpp Asam Basa Kelas 7
Rpp Asam Basa Kelas 7 from imgv2-2-f.scribdassets.com
Materi ipa kelas vii kurikulum 2013. Asam, basa, dan garam menggunakan. Smp berbasis pendekatan saintifik dengan. Tindakan kelas (ptk) ini yang berjudul "implementasi kurikulum 2013 melalui. Berdasarkan silabus kurikulum 2013 revisi 2017 materi asam basa terdapat pada. Buku ipa smp/mts kelas vii kemendikbud ri 2013 b. 1 program kreativitas mahasiswa pengembangan modul kimia dengan pendekatan pakem smp/mts kelas vii pada materi pokok asa. ( r p p ).

Rpp kelas vi sd tema globalisasi kurikulum 2013 pertemuan 4rpp k13rencana.

Berdasarkan silabus kurikulum 2013 revisi 2017 materi asam basa terdapat pada. Rpp kelas vi sd tema globalisasi kurikulum 2013 pertemuan 4rpp k13rencana. Pada siklus i indikator asam, basa, dan garam, sedangkan siklus ii tentang . Peserta didik dapat mengkategorikan larutan asam, basa dan garam beserta. 1 program kreativitas mahasiswa pengembangan modul kimia dengan pendekatan pakem smp/mts kelas vii pada materi pokok asa. Smp berbasis pendekatan saintifik dengan. Materi ipa kelas vii kurikulum 2013. Sebagai sekolah sasaran diterapkannya kurikulum 2013. Rpp asam basa kelas 7. Buku ipa smp/mts kelas vii kemendikbud ri 2013 b. ( r p p ). Asam, basa, dan garam menggunakan. Materi asam basa pada siswa kelas vii smp.

Rpp Asam Basa Smp Kurikulum 2013 / Rpp Ipa Kurikulum 2013 Asam Basa Garam / Tindakan kelas (ptk) ini yang berjudul "implementasi kurikulum 2013 melalui.. Materi asam basa pada siswa kelas vii smp. Pada siklus i indikator asam, basa, dan garam, sedangkan siklus ii tentang . Tindakan kelas (ptk) ini yang berjudul "implementasi kurikulum 2013 melalui. Sebagai sekolah sasaran diterapkannya kurikulum 2013. Asam, basa, dan garam menggunakan.

Posting Komentar untuk "Rpp Asam Basa Smp Kurikulum 2013 / Rpp Ipa Kurikulum 2013 Asam Basa Garam / Tindakan kelas (ptk) ini yang berjudul “implementasi kurikulum 2013 melalui."